澤攸科技ZEM系列臺式掃描電鏡在無鉛熱電陶瓷研究中的關鍵作用
日期:2025-04-08
熱電材料在紅外探測、溫度傳感和安全監測等領域具有重要應用價值,其核心功能源于材料自發極化隨溫度變化的特性。傳統鉛基材料(如PLZT)因優異的熱電性能長期占據主導地位,但其毒性引發的環境和健康問題促使全球轉向無鉛替代材料的研究。目前,以Na?.?Bi?.?TiO?(NBT)、BaTiO?(BTO)和(K,Na)NbO?(KNN)為代表的無鉛體系成為研究熱點。其中,KNN基陶瓷因高居里溫度(~420℃)和高自發極化展現出潛力,但其熱電系數(通常低于2.21×10?? C·m?2·K?1)與鉛基材料仍存在顯著差距。為此,研究者通過相變工程策略調控正交相(O相)與四方相(T相)的相界位置,利用多相共存增強極化響應,并結合BiAlO?等鈣鈦礦摻雜改善燒結性能和介電穩定性,試圖突破性能瓶頸。

盡管通過鋰摻雜和BiAlO?改性可調節KNN基陶瓷的相變溫度(如將O-T相界移至室溫附近),但熱電系數的提升仍受限于材料內部缺陷和非熱電電流的干擾。KNN陶瓷制備過程中堿金屬揮發易形成氧空位、陽離子空位等缺陷,這些缺陷在熱電測試中會釋放空間電荷,導致熱激勵電流(TSC)包含非本征貢獻,降低測量準確性。此外,傳統熱激勵去極化電流(TSDC)方法在高溫極化時易因絕緣電阻下降而丟失低溫缺陷信息,難以有效解析缺陷類型(如氧空位、缺陷偶極子)對熱電性能的影響機制。如何通過工藝優化減少缺陷干擾,并建立低溫缺陷分析手段,成為提升KNN基熱電材料實用化水平的關鍵挑戰。

針對上述研究背景與現存問題,武漢理工大學利用澤攸科技ZEM系列臺式掃描電鏡進行了深入研究,該團隊通過固相反應方法合成了0.995(K?.??Na?.??)???Li?NbO?-0.005BiAlO?陶瓷,并研究了鋰摻雜對相變溫度及熱釋電性能的影響,同時探索了缺陷對于熱釋電電流的貢獻,尤其是在低于200°C的溫度范圍內的情況。相關成果以“Phase engineering strategy for pyroelectric performance in lead-free 0.995(K?.??Na?.??)???Li?NbO?-0.005BiAlO? ceramics”為題發表在《Ceramics International》期刊上。

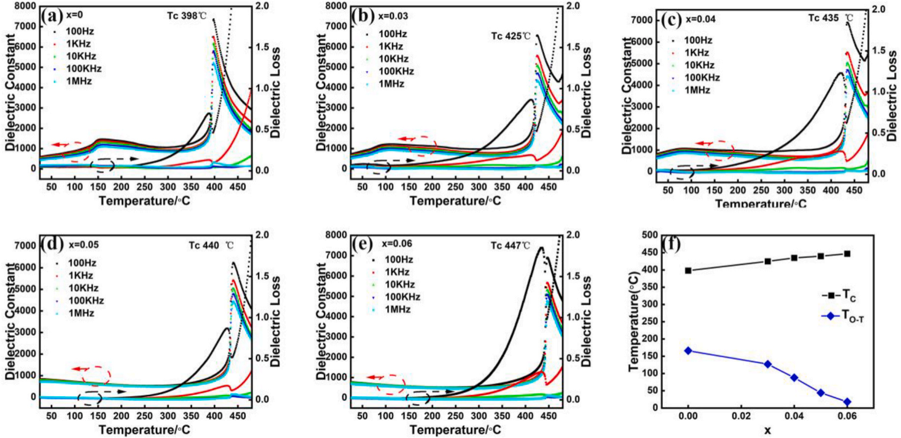
本研究聚焦于無鉛KNN基陶瓷的熱電性能優化,通過鋰摻雜與BiAlO?復合改性的相工程策略,系統探究材料結構調控、電性能響應及缺陷機制對熱電特性的影響。研究團隊采用固相反應法合成0.995(K?.??Na?.??)???Li?NbO?-0.005BiAlO?(KNLN-BAO)陶瓷,通過精確控制鋰摻雜量(x=0–0.06),結合XRD精修、Raman光譜和SEM等手段,揭示了鋰離子對正交相(O相)與四方相(T相)相界(O-T相變溫度To-T)的調控規律。結果表明,鋰摻雜顯著降低To-T溫度(如x=0.05時To-T接近室溫),促進O相與T相共存,并通過BiAlO?的鈣鈦礦結構固溶效應提升材料燒結密度與介電穩定性。

圖 不同Li摻雜含量(x = 0、0.03、0.04、0.05、0.06)的KNLN-BAO陶瓷截面SEM圖像(a–e),以及(f)陶瓷的平均晶粒尺寸隨Li摻雜量的變化
通過介電溫譜與鐵電回線分析,發現鋰摻雜不僅將居里溫度(Tc)提升至440°C以上,還優化了介電常數(ε?=937@1 kHz)與損耗(tanδ=0.026)。壓電系數d33在x=0.05時達到峰值,證實相界附近極化矢量自由度增加有利于機電響應。基于Byer-Roundy方法的熱電測試表明,x=0.05樣品在室溫下熱電系數達3.11×10?? C·m?2·K?1,其電壓探測優值(Fv=0.0169 m2·C?1)與探測率(Fd≈0.93×10?? Pa?1/2)顯著優于多數同類無鉛體系,歸因于O-T相界附近自發極化的劇烈溫度敏感性及低介電損耗特性。

圖 (a) x=0.05的KNLN-BAO陶瓷元素分布分析選區;(b–f) 分別為K、Na、Bi、Al和Nb元素的分布圖
針對KNN基陶瓷中堿金屬揮發導致的氧空位與空間電荷問題,研究通過低溫熱激勵去極化電流(TSDC)技術解析了缺陷類型及其對熱電電流的貢獻。實驗發現,陶瓷在-20°C至200°C范圍內存在兩類電流峰:低溫區(Peak 1)為可移動空間電荷釋放,高溫區(Peak 2)與缺陷偶極子(如Bi3?-空位對或Al3?摻雜誘導的局域畸變)相關。通過溫度循環與短路處理,證實空間電荷的非可逆性釋放可部分消除其對熱電測量的干擾,為缺陷工程優化提供了實驗依據。

圖 KNLN-BAO陶瓷的介電性能:(a-e) x=0、0.03、0.04、0.05、0.06樣品在25°C至480°C溫度范圍內的變化;(f) Li摻雜對居里溫度(TC)和正交-四方相變溫度(TO-T)的影響
本研究通過鋰摻雜與相界工程策略,成功將KNN基陶瓷的熱電性能提升至接近傳統鉛基材料的水平,同時闡明了缺陷對熱電響應的作用機制。提出的低溫TSDC分析方法為無鉛熱電材料的缺陷表征提供了新思路,而多相共存設計與BiAlO?復合改性策略為高性能紅外探測器件的開發奠定了材料基礎。未來研究可進一步結合缺陷鈍化工藝與界面優化,推動KNN基陶瓷在寬溫區、高穩定性熱電傳感領域的實用化進程。
澤攸科技ZEM系列臺式掃描電鏡是一款集成度高、便攜性強且經濟實用的科研設備。它具備快速抽真空、高成像速度、多樣的信號探測器選擇,適用于形貌觀測和成分分析,還能適配多種原位實驗需求。該設備對安裝環境要求低,不挑樓層,操作簡單,非專業人士也能快速上手,且購買及維護成本均低于落地式掃描電鏡,現已成為許多高校、研究所和企業的選擇的設備之一。
作者:澤攸科技
